BUZIKOVA, M.,
H. ZHUKOUSKAYA,
E. TOMSIK,
M. VETRIK,
J. KUCKA,
M. HRUBY,
J. KOTEK
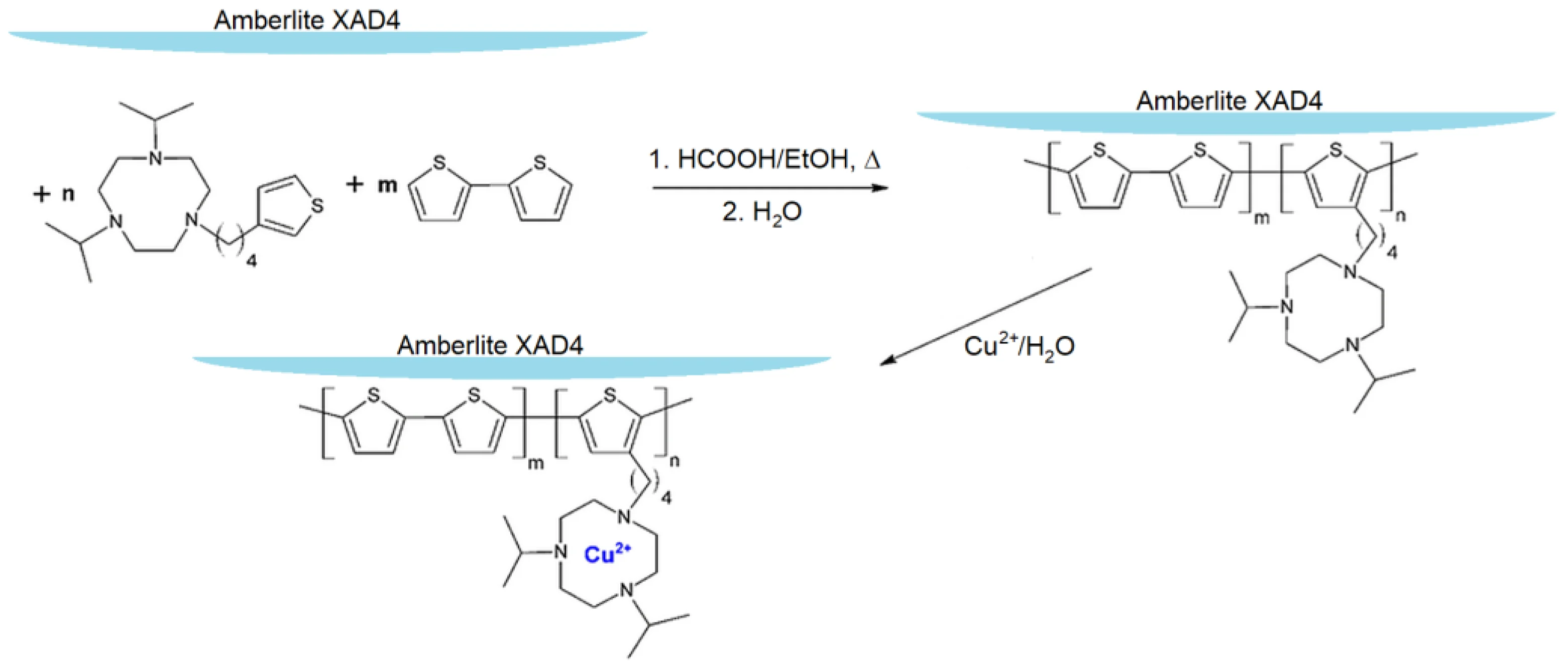
Catalytic Hydrolysis of Paraoxon by Immobilized Copper(II) Complexes of 1,4,7-Triazacyclononane Derivatives.
Polymers.
2024,
16(20),
2911,
ISSN: 2073-4360,
PMID:
39458739,
PDF.