Skip to main content

Journals 2025

PFEIFEROVA, L., M. SPANKO, J. SACHOVA, M. HRADILOVA, K. PIENTA, J. VALACH, V. MACHON, B. VYMOLOVA, A. SEDO, P. BUSEK, P. SZABO, L. LACINA, P. GAL, M. KOLAR, K. SMETANA JR.
The HOX code of human adult fibroblasts reflects their ectomesenchymal or mesodermal origin. Histochemistry and Cell Biology. 2025, 163(1), 38, ISSN: 0948-6143, PMID: 40063181,  PDF.
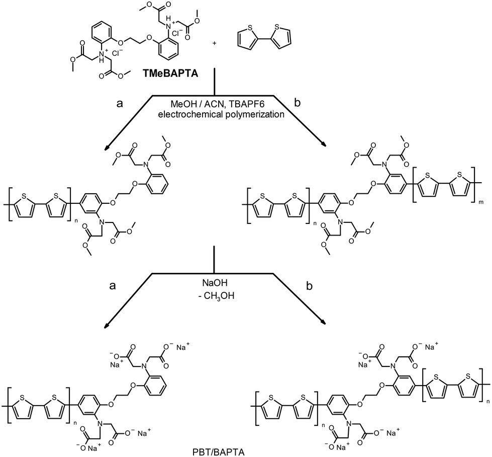
JANIC, N., H. ZHUKOUSKAYA, P. CERNOCH, J. PANEK, J. SVOBODA, M. HAJNA, E. ŘEZNÍČKOVÁ, E. TOMSIK, M. HRUBY
BAPTA-based potentiometric polymer sensor: towards sensing inflammations and infections. Journal of Materials Chemistry. B. 2025, 13(13), 4157-4165, ISSN: 2050-750X, PMID: 40047457,  PDF.
RAMPEESA, N., R. GUNDLA, G. MUDASANI, S. TANGALLAPALLI, S. ANUGU, S. GURSKÁ, J. DE SANCTIS, P. DŽUBÁK, M. HAJDÚCH, V. DAS
Identification of a novel Azaspirooxindolinone-based PROTAC for selective BTK degradation and enhanced anticancer activity. Bioorganic Chemistry. 2025, 157, 108316, ISSN: 0045-2068, PMID: 40037026,  PDF.
MUDSANI, G., N. RAMPEESA, S. ANUGU, P. MUDDASANI, S. GURSKÁ, P. DŽUBÁK, M. HAJDÚCH
Design, synthesis, and biological evaluation of novel azaspirooxindolinone derivatives as potent inhibitors of ITK and BTK-dependent cancers. Bioorganic & Medicinal Chemistry. 2025, 121, 118116, ISSN: 0968-0896, PMID: 40015119,  PDF.
DUMUT, D., M. HAJDÚCH, A. ZACHARIAS, Q. DUAN, I. FRYDRYCH, Z. ROŽÁNKOVÁ, M. POPPER, D. GARIC, R. PAUN, A. CENTORAME, J. SHAH, M. MISTRÍK, P. DŽUBÁK, J. DE SANCTIS, D. RADZIOCH
Diethyldithiocarbamate-copper complex ignites the tumor microenvironment through NKG2D-NKG2DL axis. Frontiers in Immunology. 2025, 16, 1491450, ISSN: 1664-3224 , PMID: 40013140,  PDF.
RYNES, J., E. ISTVANKOVA, M. DZUROV KRAFCIKOVA, E. LUCHINAT, L. BARBIERI, L. BANCI, K. KAMARYTOVA, T. LOJA, B. FAFILEK, G. RICO-LLANOS, P. KREJCI, L. MACUREK, S. FOLDYNOVA-TRANTIRKOVA, L. TRANTIREK
Protein structure and interactions elucidated with in-cell NMR for different cell cycle phases and in 3D human tissue models. Communications Biology. 2025, 8(1), 194, ISSN: 2399-3642 , PMID: 39920376,
TOMSIK, E., Z. CERNOCHOVA, M. SCHEIBE, K. TADYSZAK
Lithium phthalocyanine (γ-structure) as a molecular oxygen sensor. RSC Advances. 2025, 15(5), 3738-3748, ISSN: 2046-2069, PMID: 39911542,  PDF.
BOSAKOVA, V., I. PAPATHEODOROU, F. KAFKA, Z. TOMASIKOVA, P. KOLOVOS, M. HORTOVA-KOHOUTKOVA, J. FRIC
Serotonin attenuates tumor necrosis factor-induced intestinal inflammation by interacting with human mucosal tissue. Experimental & Molecular Medicine. 2025, 57(2), 364-378, ISSN: 1226-3613, PMID: 39894823,  PDF.
SKALICKOVA, M., K. HADRAVA VANOVA, O. UHER, J. LEISCHNER FIALOVA, K. PETRLAKOVA, M. MASARIK, Z. KEJIK, P. MARTASEK, K. PACAK, M. JAKUBEK
Injecting hope: the potential of intratumoral immunotherapy for locally advanced and metastatic cancer. Frontiers in Immunology. 2025, 15, 1479483, ISSN: 1664-3224, PMID: 39850897,  PDF.
LEE, C., I. SNAJDR, L. TENORA, J. ALT, L. GORI, M. KRECMEROVA, R. MARAGAKIS, J. PAULE, S. TIWARI, J. IYER, R. TALWAR, L. GARZA, P. MAJER, B. SLUSHER, R. RAIS
Discovery of Orally Available Prodrugs of Itaconate and Derivatives. Journal of Medicinal Chemistry. 2025, 68(3), 3433-3444, ISSN: 0022-2623, PMID: 39848624,  PDF.